대한한의사협회
  • 새소식
  • Association news

한의계뉴스

  • 새소식
  • 한의계뉴스
  • 한의 암치료의 면역세포 활성 효과 객관적으로 입증 (원문링크)
  • 날짜 : 2017-07-18 (화) 15:18l
  • 조회 : 228
한의 암치료의 면역세포 활성 효과 객관적으로 입증
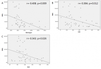
자연살해세포 활성도와 전신염증반응 표지자들의 상관관계 분석…한의 암치료의 객관적 지표 제시 대전대 둔산한방병원 동서암센터 환자 42명 데이터 분석 SCI(E)급 국제학술지 Intergrative Cancer Therapies 게재 [한의신문=김대영 기자] 한의 암 치료를 받은 암 환자의 데이터를 분석한 결과 면역력이 저하된 암 환자의 면역세포가 활성화 되고 종양미세환경이 개선된 것으로 확인됐다. 해당 연구결과는 SCI(E)급 국제학술지 Intergrative Cancer Therapies 7월 온라인판에 게재됐다. 논문에서는 대전대학교 둔산한방병원 동서암센터(이하 동서암센터)에서 한의 암치료 프로그램을 받은 42명의 다양한 암종 환자들의 자연살해세포 활성도와 전신염증반응 표지자들의 상관관계를 분석했다. 자연살해세포는 암의 전이단계 뿐 아니라 암 발생 초기단계에서도 중요한 역할 담당하는 면역세포로 자연살해세포의 활성도는 암 환자들의 면역력 지표로 활용될 수 있다. 또한 다양한 암종에서 높은 호중구/림프구 비율은 좋지 않은 예후를 암시하고 높은 피브리노겐 수치와 적혈구침강속도는 종양의 진행과 관련이 있는 것으로 알려졌다. 논문 제1저자인 강휘중 박사에 따르면 암 환자들의 데이터를 분석한 결과 자연살해세포 활성도는 전신염증반응 표지자인 호중구/림프구 비율, 피브리노겐, 적혈구침강속도와 유의한 음의 상관관계를 나타냈다. 특히 상대적으로 높은 자연살해세포 활성도를 나타낸 환자들보다 낮은 자연살해세포 활성도를 나타낸 환자들에 있어 한의 암 치료 후 호중구/림프구 비율이 유의하게 감소됐다. 이는 면역력이 높을수록 체내의 염증 반응을 나타내는 전신염증반응 표지자들이 저하돼 있는데 한의 암 치료가 면역력이 현저하게 저하돼 있는 암 환자의 염증을 줄여 미세환경을 개선시킨 다는 것을 객관적으로 입증한 것이다. 유화승 동서암센터 교수는 “한의 암 치료를 받은 환자들의 입원 전후 데이터를 비교, 분석해 자연살해세포와 전신염증반응 표지자들의 관계를 도출한 국내 최초의 연구”라며 “한의 암 치료의 객관적인 지표를 제시하고 일정 수준의 근거를 제시할 수 있는 계기를 마련했다”고 의미를 부여했다. 이어 유 교수는 “이들 표지자들이 암 환자들의 생존율 및 삶의 질과 어떠한 관계를 가지는지에 대한 향후 전향적 임상연구를 통해 추가적인 분석이 필요해 보인다”고 덧붙였다. 한편 동서암센터는 한의약물의 종양 신생혈관억제 및 종양면역 활성을 통한 종양성장 및 전이재발 억제 효능을 입증하고 암 환자의 무병생존률 및 전체 생존율 연장에 대한 효과를 발표한 바 있다.
이전글 항암화학요법이 오히려 암세포 전이를 촉진한다
다음글 지난해 노인장기요양보험 인정자 ’52만명’ 집계